BREAKING: Court Rules BOS Overstepped, Orders Power Returned to Recorder
Clean Sweep On All Issues In Favor of Recorder Heap
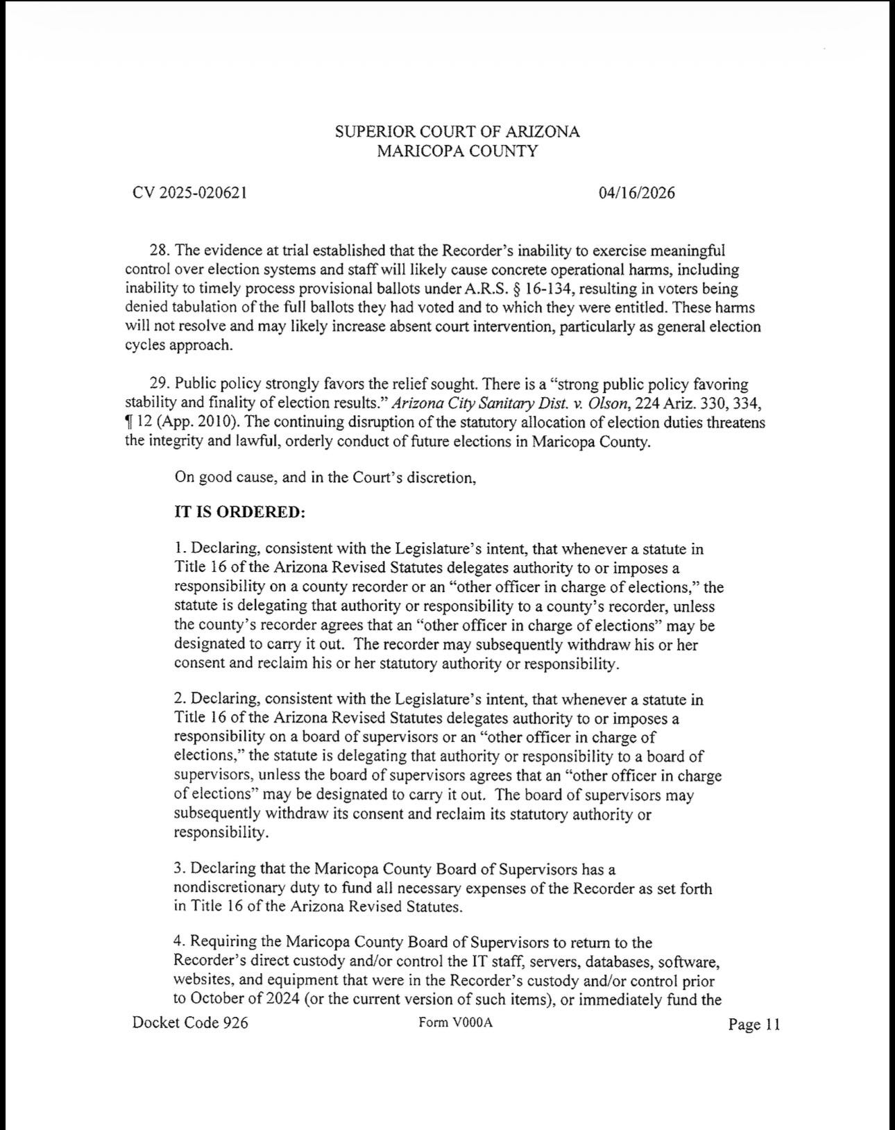
In a decisive ruling issued April 16, 2026, a Maricopa County Superior Court judge found that the Maricopa County Board of Supervisors overstepped its authority in its ongoing dispute with Recorder Justin Heap, ordering the Board to restore key election functions and resources to the Recorder’s Office.
This wasn’t a close call, the court overwhelming smacked down the overreaching Board.
The case centers on control over election infrastructure, including IT systems, databases, and personnel. Resources the Recorder argued are essential to carrying out statutory duties under Arizona law.
Court Finds Board “Usurped” Recorder’s Authority
In a detailed ruling, the court concluded that the Board’s actions, specifically transferring control of election-related IT systems, staff, and infrastructure away from the Recorder, constituted an unlawful usurpation of statutory authority.
The court emphasized that Arizona law designates the county recorder as the primary “officer in charge of elections,” unless authority is explicitly delegated elsewhere. The ruling makes clear that such authority cannot be unilaterally reassigned by the Board.
At the heart of the conflict is control over election systems.
According to the court’s findings, the Board transferred control of critical systems, including voter registration databases, early ballot processing systems, and election reporting tools, to a Board-controlled IT structure, leaving the Recorder dependent on external approval for basic operational functions.
The court found this arrangement impaired the Recorder’s ability to fulfill statutory responsibilities, noting that modern election administration requires direct access to systems, personnel, and technical infrastructure.
Budget Authority Has Limits
The Board argued that its budgetary authority allowed it to control funding and structure operations. The court rejected that position, stating that while the Board controls county finances, it cannot use that authority to interfere with or override another elected official’s statutory duties.
The ruling further clarifies that the Board has a non-discretionary duty to fund the Recorder’s Office at a level sufficient to carry out election-related responsibilities.
As part of the ruling, the court ordered the Board to:
Fully fund the Recorder’s Office as required by law
Restore or return control of IT systems, databases, and personnel
Cease interference with the Recorder’s election-related duties
The court also left open the possibility of further relief if compliance is not met.
The ruling frames the dispute as more than a local disagreement, describing it as a structural issue involving the separation of powers between elected county officials.
The court warned that continued interference with the Recorder’s authority could result in irreparable harm to election administration, including delays, system failures, and diminished public confidence.
It remains to be seen whether the Board will appeal or move quickly to comply with the court’s orders. The residents of Maricopa are ready to move on and an apology to Recorder Heap may be coming soon.
This is a developing story.





If the board appeals could Recorder Heap compel it be on an emergency basis so we can have the elections we elected Recorder Heap to perform for the 2026 upcoming elections?